Page 2 - My Project1

This is a SEO version of My Project1. Click here to view full version

« Previous Page Table of Contents Next Page »

728 Comparison of the clinical efficacy of medical treatment of symptomatic benign prostatic hyperplasia between

normal and obese patients

Seung Hwan Lee, Cheol Young Oh, Kyung Kgi Park, Mun Su Chung, Se Jeong Yoo and Byung Ha Chung

732 Differences in phenotype and gene expression of prostate stromal cells from patients of varying ages and their

influence on tumour formation by prostate epithelial cells

Yong-ChuanWang, Sheng-Qiang Yu, Xiao-Hai Wang, Bang-Min Han, Fu-Jun Zhao, Guang-Hui Zhu, Yan Hong and Shu-Jie Xia

Erectile Function

742 Effects of Ginkgo biloba extracts with mirodenafil on the relaxation of corpus cavernosal smooth muscle and the

potassium channel activity of corporal smooth muscle cells

Jung Jun Kim, Deok Hyun Han, Soo Hyun Lim, Tae Hun Kim, Mee Ree Chae, Kyung Jin Chung, Sung Chul Kam, Ju-Hong Jeon, Jong Kwan Park and Sung Won Lee

747 Relaxant effect and possible mechanism of 17-nor-subincanadine E in rabbit corpora cavernosa

Otacilio D Benvindo, Nilberto RF Nascimento, Claudia F Santos, Manasses C Fonteles, Edilberto R Silveira, Daniel E Uchoa, Adriana R Campos, Karina MA Cunha, Flavia A Santos and Vietla S Rao

Male Fertility

754 Predictors of pain resolution after varicocelectomy for painful varicocele

Hyun Jun Park, Seung Soo Lee and Nam Cheol Park

Male Aging

759 Testosterone level and mortality in elderly men with systolic chronic heart failure

Hai-Yun Wu, Xiao-Fei Wang, Jun-Hua Wang and Jiang-Yuan Li

Sperm Biology

764 The ability of sperm selection techniques to remove single- or double-strand DNA damage

Marı´a Enciso, Miriam Iglesias, Isabel Gala´ n, Jona´ s Sarasa, Antonio Gosa´ lvez and Jaime Gosa´ lvez

769 Human sperm pattern of movement during chemotactic re-orientation towards a progesterone source

Cecilia Soledad Blengini, Maria Eugenia Teves, Diego Rafael Un˜ates, He´ctor Alejandro Guidobaldi, Laura Virginia Gatica and Laura Cecilia Giojalas

SHORT COMMUNICATION

774 High-magnification observation of seminiferous tubules through the tunica albuginea by two-photon laser

scanning microscopy

Vincent Achard, Pascal Weber, Georges Mercier and Marie-Pierre Blanchard

Free articles are available at www.nature.com/aja

国内外公开发行 CN 31-1795/R 邮发代号 4-648 广告经营许可证 3101520090003 国内每期 80.00元

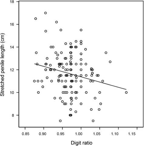
The relationship between digit ratio and stretched penile length. Stretched penile length was found to be negatively assoc-iated with digit ratio. y 5 29.201 x 1 20.577 ( r 5 20.216, P 5 0.009) ( y : stretched penile length, x : digit ratio) See pages 710-714 for details.

Sponsored by the Shanghai Institute of Materia Medica (SIMM), Chinese Acad-emy of Sciences and Shanghai Jiao Tong University (SJTU).

Granted by Publishing Foundation of Chinese Academy of Sciences, and National Natural Science Foundation of China (NSFC).

Supervised by Chinese Academy of Sci-ences.

Published jointly by the Editorial Office, Asian Journal of Andrology and Nature Publishing Group.

Printed by Shanghai Tu-Yu Printing House, 28 Lane 23 Yin-Gao Road, Shanghai 200439, China.

Editorial Director Qin-Zhu Zheng, China Science Editors Rong-Rong Ma, China Dan-Qing Ren, China Hui Zhang, China Sha-Sha Wei, China Executive Editor for this issue Dan-Qing Ren

Page 2 - My Project1

This is a SEO version of My Project1. Click here to view full version

« Previous Page Table of Contents Next Page »